振動分析設備故障振動來源
只要振動存在必然有振動的擾動力,而且振動情況必然和物體的動力性能存在一定關系。在線性振動系統中,對于剛性轉子及剛性支撐,所測振幅大小取決于激振力大小和系統剛度。剛度是指彈性體抵抗變形的能力。使彈性體產生單位變形y所需的力F稱為剛度k

此式說明,在線性振動系統中,測點所測振幅值的大小與作用在該測點上的激振力成正比,與該點的剛度成反比。也就是說,當設備振幅值增大時,既要從激發振動的擾動力方面去查找故障原因,也要從設備自身的支撐剛度上尋找問題。
旋轉機械的支撐剛度包括靜剛度和動剛度兩個部分,支撐靜剛度取決于結構、材質、尺寸,而動剛度主要與頻率比有關。
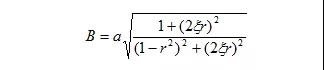
從公式

可以得出,在頻率比r<(0.6-0.7)時,阻尼項可以忽略不計,振幅基本等于靜變形。而現場運行中設備支撐靜剛度的變化,主要由激振力幅值的變化及連接剛度變化引起,所以在激振頻率與幅值不變的情況下,振動的增加預示者剛度的減弱。地腳松動是支撐剛度降低的因素之一,若如其中一個地腳松動,這個地腳抵抗變形的能力就相對較弱,以至于導致整個軸承座剛度變弱。比如較短的一根鋼筋,如果兩頭固定,在中間用力,其變形遠遠小于其中一頭固定而在另一頭對其用同等力的變形。
支撐剛度雖然是軸承座振動的主要因素之一,但支撐剛度不可能無限制的增加,除資源浪費外,也不利于設備安全運行,比如用幾噸重的軸承座支撐軸直徑為80mm的轉子,當存在較大激振力時,如轉子不平衡,軸承座可能振動依然良好,但我們要知道激振力是存在的,而且它產生的振動能量完全消耗在軸與軸承的相對運動上,會使軸承更早的損壞,如果軸承座剛度不是那么大,還可由軸承座的相對運動抵消掉一部分振動能量。所以剛度適中即可,我們要知道增加剛度的同時阻礙了振動的傳遞,對于有特殊要求的設備,軸承座剛度非常***,那么對它的振動測量通常使用渦流傳感器直接測量軸的振動,也就是相對振動,因為軸承座的阻抗影響了振動的傳遞,軸承座的振動不能體現轉子的真實振動。




![[field:title /]](/uploads/allimg/160926/1-160926095J5.jpg)
![[field:title /]](/uploads/allimg/170316/1-1F316164532.jpg)
![[field:title /]](/uploads/allimg/160927/1-16092G12F7.jpg)
![[field:title /]](/uploads/allimg/160926/1-160926164057.jpg)
![[field:title /]](/uploads/allimg/160929/1-160929164110.jpg)

京公網安備 11010702001993號